Calculating Equity
Fullpath is able to calculate a Shopper's equity and estimated remaining debt using a combination of data pulled from the DMS, CRM, and Kelly Blue Book. It is important to note that these calculation are estimations only.
Data Points
The primary points we consider when calculating a Shopper's equity status (for the purposes of marketing and engaging Shopper's around equity offers) include: total purchase price, down payment, terms, monthly payment, interest, and the current value of the vehicle. These are typically based in user input however some integrations allow us to calculate this more exactly (See *Curator below).
Fullpath Equity applies to ongoing finance deals (leases aren't supported yet) and is calculated for a shopper's most recently purchased vehicle as marked in the Dealership CRM or DMS.
Calculation
The formula for calculating equity in a vehicle is: Equity = Resale Value - Loan Balance
Where:
- Resale Value: is the current market value of the vehicle provided by KBB
- Loan Balance: is the amount you still owe on your auto loan provided by data taken from the dealership CRM or DMS
If the result is positive, you have positive equity. If it's negative, you have negative equity.
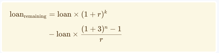
The formula for remaining loan balance:
Where:
- loan - The amount of loan;
- r - The interest rate expressed on a monthly basis;
- n - The loan term, which is the period for which the loan was granted; and
- k - The time that has passed since you have taken a loan.
|
* CRM and DMS data points around finance and equity may sometimes be labeled differently; the following terms may be used interchangeably:
Equity state: equity_amount Vehicle worth: equity_book_value Estimated remaining debt: equity_pay_off |
Positive Equity
Positive equity occurs when your vehicle's resale value exceeds your loan balance. For instance, if your car is worth $15,000 and you owe $8,000, you have $7,000 in positive equity. This equity allows you to:
- Use it as a down payment on a new car
- Borrow against it with a vehicle equity loan
- Refinance your current loan or secure a new loan using the equity as collateral
Negative Equity
Negative equity, or being "upside down" on a loan, occurs when your vehicle's value is less than your loan balance. For example, if you owe $15,000 on a car worth $12,000, you have $3,000 in negative equity.
Factors contributing to negative equity include:
- Depreciation
- High mileage
- Market fluctuations
- Damage from accidents or neglect